An Automobile Power of Attorney Form is a legal record that authorizes a designated representative to perform specific jobs related to car transactions on behalf of the proprietor. These tasks can include signing documents, transferring titles, registering the lorry, and handling other management issues related to automobile ownership.
Interpretation and Function:
At its core, this type enables automobile proprietors to entrust authority for taking care of automobile transactions when they are inaccessible or like not to take care of the procedure themselves. Its purpose is to supply legal defense and quality by plainly specifying the scope of the agent’s authority. Key phrases such as vehicle POA and car power of attorney highlight its relevance in improving auto deals.
Context in Vehicle Transactions:
This paper is particularly valuable when offering or moving a car, registering adjustments with the DMV, or taking care of fixings and maintenance in support of the owner. It makes sure that all celebrations understand the agent’s duty, therefore decreasing potential conflicts and guaranteeing compliance with legal requirements.
Just how to Write a Car Power of Attorney Kind
Preparing a Car Power of Attorney Type requires attention to detail and compliance with legal procedures to guarantee that the representative’s authority is clearly specified and enforceable.
Essential Components:
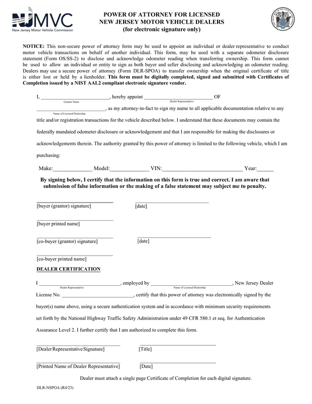
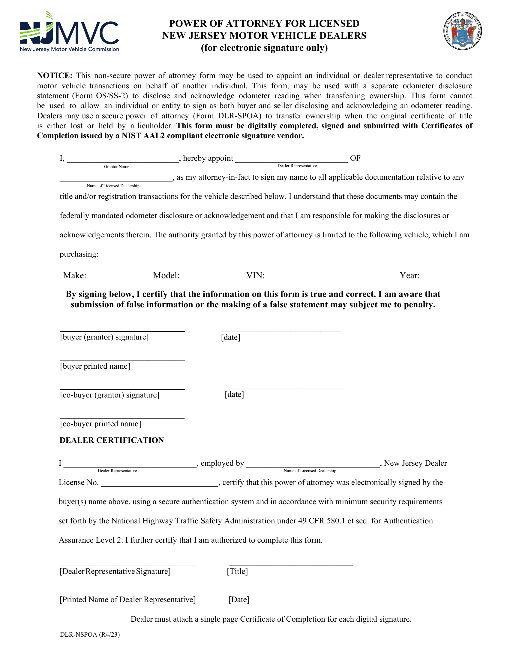
- Identification of Events: Plainly state the full legal names and get in touch with info of the automobile owner (principal) and the designated representative.
- Automobile Details: Give detailed details regarding the lorry, including make, model, year, VIN (Automobile Identification Number), and registration information.
- Extent of Authority: Specify the exact powers approved to the representative (e.g., transferring the title, signing up the lorry, handling upkeep agreements).
- Reliable Date and Duration: Show when the authority becomes reliable and whether it is momentary or ongoing.
- Limitations and Issues: Include any kind of limitations on the representative’s authority to safeguard the proprietor’s passions.
- Abrogation Clause: Clearly state exactly how and when the principal can revoke the authority granted in the paper.
- Trademarks and Registration: Make sure the type is signed, dated, and notarized (if required by state regulation) to confirm its credibility.
Read here Maine Car POA At our site
Language and Lawful Formalities:
Usage clear and exact language throughout the record. Phrases such as “I hereby license” and “this authority will work on” help to develop a clear transfer of powers. Adhering to state-specific registration and observing needs is necessary for enforceability.
Tips for Preparing a Reliable Car POA
Consider these specialist suggestions when producing your Car Power of Attorney Kind:
Specify and In-depth:
Clearly lay out each power you desire to delegate, including any kind of limitations. Comprehensive summaries assist avoid misconceptions and prevent misuse of the authority.
Use Plain Language:
While keeping a formal tone, use uncomplicated language that both the proprietor and agent can quickly understand. This makes sure clarity in legal process and daily purchases.
Talk To Attorneys:
If the POA will certainly manage significant deals or if you’re not sure about state needs, talk to a lawyer. Their support can help tailor the paper to your certain requirements.
Include a Revocation Process:
A clear cancellation provision is necessary. It gives you the flexibility to withdraw the agent’s authority must scenarios change.
Maintain Duplicates:
Retain duplicates of the authorized and notarized kind for your documents. This documentation is essential for future purchases and in case of conflicts.
Usual Obstacles in Car POAs
When producing a Car Power of Attorney Type, you may experience numerous challenges:
Specifying the Extent:
Ensuring that the paper plainly details precisely what actions the representative is licensed to take can be tough. Uncertainties can result in disputes or unintended effects.
Legal Conformity:
Various states have varying demands pertaining to powers of attorney for automobile deals. Making certain that your document meets all these demands is critical for its credibility.
Revocation and Changes:
Including clear guidelines for abrogation or changes can be intricate. The record should supply versatility without compromising the representative’s authority as soon as activated.
Danger of Abuse:
Granting broad authority might expose you to prospective abuse. It is essential to restrict the representative’s powers to just those essential for handling certain vehicle-related tasks.
Who Demands an Automobile Power of Attorney Type
A Car Power of Attorney Form is useful for various people who require aid handling vehicle-related transactions.
Automobile Owners:
Proprietors who are unavailable or prefer to hand over management jobs – such as marketing, registering, or maintaining their car – can benefit from this type.
Agents or Agents:
People assigned to act on part of the owner require a clear, legally binding paper that details their authority for automobile deals.
Dealerships and Businesses:
Companies associated with fleet administration or lorry sales might require such forms to license representatives to complete purchases in behalf of the owner.
When is an Automobile Power of Attorney Type Required
An Automobile Power of Attorney Form is typically needed in the complying with scenarios:
During Lorry Sales or Transfers:
When offering or transferring a vehicle, the owner may accredit a representative to authorize documents and manage the process on their part.
For Registration or Title Adjustments:
If the owner is unable to directly manage the DMV treatments for updating registration or titles, a POA allows a representative to finish these tasks.
During Extended Absences:
Owners that are momentarily not available – as a result of travel, ailment, or other factors – can make use of a POA to guarantee that their vehicle’s administrative jobs are taken care of in their absence.
Advantages of Using a Motor Vehicle Power of Attorney Kind
Using a Car Power of Attorney Kind uses numerous benefits:
Lawful Clarity and Security:
It supplies a clear, legally enforceable document of the authority approved to the agent, safeguarding the passions of both parties entailed.
Streamlined Transactions:
By entrusting particular tasks to a representative, the file helps with smoother and a lot more efficient lorry deals, such as title transfers and enrollments.
Flexibility:
The kind can be tailored to include only the needed powers, making sure that the representative’s authority is restricted to specific jobs, thereby minimizing the threat of misuse.
Satisfaction:
Knowing that a trusted representative can manage vehicle-related issues in your absence offers confidence and makes certain that vital administrative tasks are not ignored.
FAQs
Q1: What is an Automobile Power of Attorney Type?
A Motor Vehicle Power of Attorney Form is a lawful paper that licenses a designated representative to manage vehicle-related purchases, such as title transfers, enrollments, and maintenance, in behalf of the owner.
Q2: That should utilize a Car Power of Attorney Type?
Car proprietors that are unable to manage their vehicle transactions directly, or that prefer to entrust these jobs, should use this kind. It is likewise necessary for representatives acting upon behalf of the proprietor.
Q3: What info is consisted of in a Motor Vehicle Power of Attorney Type?
The type normally consists of the full names and call information of both the owner and the agent, a comprehensive summary of the automobile (consisting of make, design, year, and VIN), the specific powers provided, the efficient date, revocation arrangements, and trademarks. Registration may likewise be needed.
Q4: Why is a Car Power of Attorney Form important?
It guarantees that the agent’s authority to take care of car purchases is legally recognized, assists in smoother deals with the DMV and other entities, and secures the passions of both the owner and the representative by plainly detailing the scope of authority.




